产品展示Products
产品搜索 SEARCH

当前所在位置:首页 >产品展示 > 制冷片 > 微型 制冷片

微型 制冷片
微型制冷片
Marlow,Laird,RMT,Ferrotec,Kelk,peltier,opto tec,mini TEC,Micro TEC,微型制冷片,多级制冷片,TEM
欢迎在线询问,
我们会根据您的需求制定最好的方案
询问报价
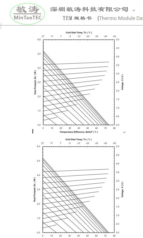
产品性能参数:

产品系列 (Product Series)    OT24-035-6012 Series

产品编号 (Product # )        8824035-101     ROHS 2002/95/EC Compliant

产品描述 (Product Description) OT24-035-6012, F2, T1, Wire 050

This OT series of thermoelectric modules are developed for the demands of telecom applications, AuSn Micro TEC is special for high temperature application,it is made of high performance material and advanced process technology ,typically used in optical telecommunication such as laser transceiver ,pumper laser and other high power mini laser . 此OT系列设计适用于光通讯行业,金锡微型制冷片是为高温环境下使用,它采用高性能的材料和先进的制造工艺,典型应用于光通信行业的激光发射器与大功率的小型激光器。


ShenZhen Mintao Technology Co.,Ltd       www.mintaotech.com

Address:  #203,Builing A, Rongfeng packing industrial Zone, Nanwan Street, Longgang District, Shenzhen City, Guangdong Province, China

Sales person:  Jacky Chen (陈先生)  / Suzy Gui (桂小姐)

Sales Dept. Phone: +86-135 3044 2327 / +86 -189 2370 5969    

E-mail :Jackychen@mintaotech.com