我们会根据您的需求制定最好的方案
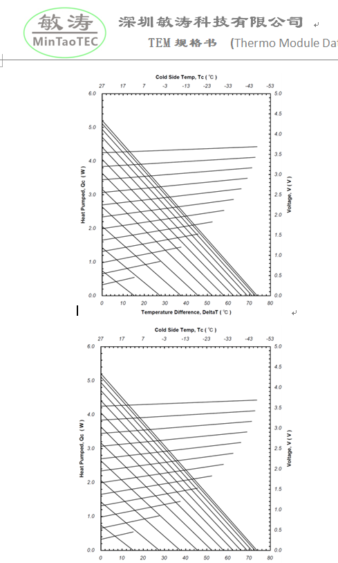
产品系列 (Product Series) : OT24-035-6012 Series
产品编号 (Product # ) : 8824035-101 ROHS 2002/95/EC Compliant
产品描述 (Product Description): OT24-035-6012, F2, T1, Wire 050
This OT series of thermoelectric modules are developed for the demands of telecom applications, AuSn Micro TEC is special for high temperature application,it is made of high performance material and advanced process technology ,typically used in optical telecommunication such as laser transceiver ,pumper laser and other high power mini laser . 此OT系列设计适用于光通讯行业,金锡微型制冷片是为高温环境下使用,它采用高性能的材料和先进的制造工艺,典型应用于光通信行业的激光发射器与大功率的小型激光器。
ShenZhen Mintao Technology Co.,Ltd www.mintaotech.com
Address: #203,Builing A, Rongfeng packing industrial Zone, Nanwan Street, Longgang District, Shenzhen City, Guangdong Province, China
Sales person: Jacky Chen (陈先生) / Suzy Gui (桂小姐)
Sales Dept. Phone: +86-135 3044 2327 / +86 -189 2370 5969
E-mail :Jackychen@mintaotech.com



